行業資訊
公路三大線形設計及計算,整理分享給需要的你
一、直線設計
直線是平面線形設計的基本要素之一,具有距離短、易布設等特點,在公路中使用最為廣泛。兩點之間以直線為最短,給人以短捷、直達的良好印象,加之汽車在直線上行駛受力簡單,方向明確,駕駛操作簡易。但直線線形缺乏靈活性,大多難于與地形、地物相協調;強定直線,往往造成工程量大,破壞自然條件。過長的直線易使駕駛人員感到單調、疲倦,難以目測車間距離,易于產生盡快駛出直線的急路躁情緒。長直線還容易導致致高速行駛,危及交通安全。
下述路段可適宜采用直線:
(1)不受地形、地物限制的平坦地區或山間的開闊谷地;
(2)市鎮及其近郊,或規劃方正的農耕區等以直線條為的地區;
(3)長大橋梁、隧道等式邏輯構造物物路段;
(4)路線交叉點其前后;
(5)雙車道公路提供超車的路段。
在設計中,過長和過短的直線都不是好的線形。因此對直線的最大和最小長度都要加以限制。
1、直線的最大長度
關于直線的極限長度(最大與最小長度),從理論上求解是非常困難的,主要應根據駕駛人員的視覺效果和心理上的承受能力來確定,目前尚在研究中。各國都從經驗出發,通過調查確定限制最大直線長度。如德國規定不超過計算行車速度(Km/h)的20倍,原蘇聯規定為8km,美國為3mile(4.83km)。我國已建成的位于平原微丘區的十多條高速公路的直線長不超過3200m;沈大高速公路多處出現5km至8km的長直線,最大13km。據國內外調查研究結果,最大直線長度為以汽車按計算行車速行駛70s左右的距離控制為宜。
經過對不同路段,按100km/h的行駛車速對駕駛人員和乘客調查其心理反應和感受,有如下結果:
(1)位于城市附近的道路,作為城市干道的一部分,由于路旁高大建筑和多彩的城市風光,無論路基高低均被納入視線范圍,駕駛員和乘客無直線過長希望駛出的不良反應;
(2)位于鄉間平原區的公路,隨季節和地區不同,駕駛人員有不同反應。北方的冬季,綠色枯萎,景色單調,太長的直線使人情緒被納入受到影響。夏天稍許改善一些,但駕駛人員加速行駛希望盡快駛完直線的心理普遍存在;
(3)位于大戈壁,大草原的公路,直線長度可達數十公里,司乘人員極度疲勞。車速超過設計速度很多。但在這種特殊的地形條件下,除了直線別無其它選擇,人為設置彎道不但不能改善其單調,反而增加路線長度。
由此看來,直線的最大長度,在城鎮附近或其它景色有變化的地點大于20v是可以接受的;在景色單調的地點最好控制在20v以內;而在特殊的地理條件下應特殊處理,若作某種限制看來是不現實的。直線 的最大長度應與地形相適應,與景觀相協調,不強定長直線,也不硬性設置不必要的曲線。
當采用長的直線形時,為彌補景觀單調之缺陷,應結合沿線具體情況采取相應的技術措施并注意下述問題:
(1)在長直線上縱坡不宜過大,因長直線再加下陡坡行駛更易導致高速度;
(2)長直線與大半徑,凹形豎曲線組合為宜,這樣可以使生硬呆板的直線得到一些緩和;
(3)道路兩側地形過于空曠時,宜采取植不同樹或設置一定建筑雕廣告牌等措施,以改善單調的景觀。
(4)長直線或長下坡盡頭的平曲線,除曲線半徑、超高、視距等必須合規定外,還必須采取設置標志、增加路面抗滑能力等安全措施。
2、直線的最小長度
考慮到線形的連續和駕駛的方便,相鄰兩曲線之間應有一定的直線長度。
(1)同向曲線間的直線最小長度
互相通視的同向曲線間若插以短直線,容易產生把兩個曲線看成是一個曲線的錯覺,破壞了線形的連續性,易于造成駕駛操作的失誤,設計中應盡量避免。由于這種線形組合所產生的缺陷是來自駕駛員的錯覺,所以若將兩曲線拉開,也就是限制中間直線的最短長度,使對向曲線在駕駛員的視覺以外則可以避免上述缺點。大量的觀測資料證明,行車速度愈高,司機愈是注視遠處的目標,這個距離在數值上大約是計算行車速度v(以km/h計)的6倍(以m計),所以同向曲線間的最短直線長度以不小于6v為宜。這種要求在車速較高的道路(v≥60km/h)上宜盡可能保證,而對于低速道路(v≤40km/h)的2倍為宜。在受到條件限制時, 宜將在同向曲線間插入大半徑曲線或將兩曲線作成復曲線、卵形曲線或C形曲線。
(2)反向曲線間的直線最小長度
兩相反圓曲線之間,考慮到為設置超高和加寬緩和的需要以及駕駛人員轉向操作的需要,其間的直線最小長度(以m計)以不小于計算行車速度(以km/h計)的2倍為宜。當直線兩端高設有緩和曲線時,可直接相連構成S曲線,即兩個反向圓曲線用緩和曲線直接相連。
三、四級公路上,兩相鄰反向曲線無超高、無加寬時,可徑相銜接;無超高有加寬時,中間應沒有長度不小于10m的加寬緩和段。工程特殊因難的山嶺重丘區,三、四公路設置超高時,中間直線長度不得小于15m。
(3)相鄰回頭曲線間的直線最小長度
回頭曲線是指山區公路為克服高差在同一坡面上回頭展線時所采用的曲線。兩回頭曲線間,由一個回頭曲線的終點到下一個回頭曲線起點的距離,在二、三、四級公路上應分別不小于200m、150m和100m。
二、圓曲線
各級公路和城市道路不論轉角大小均應設置平曲線,而圓曲線是平面線形中的主要組成部分。在平面線形中的單曲線、復曲線、虛交點曲線和回頭曲線等,一般都包括有圓曲線:圓曲線由于與地形適應性強、可循性好、線形美觀和易于測設等優點,使用十分普遍


1、計算公式及其影響因素
由第一章汽車行駛理論,根據汽車行駛在曲線上力的平衡式(1-1-31)可知圓曲線半徑計算公式為

式中:v——各級公路的計算行車速度,km/h;
u——最大橫向力系數;
i——路拱橫向坡度,以小數計。
從上式可知,圓曲線半徑越大.橫向力系數就越小,汽車就越穩定。
所以從汽車行駛穩定性出發,圓曲線半徑越大越好。但有時因受地形、地質、地物等因素的限制,圓曲線半徑不可能設置得很大,往往會采用小半徑的圓曲線,這時如果半徑選用的太小,又會使汽車行駛不安全,甚至翻車。所以必須綜合考慮汽車安全、迅速、舒適和經濟,并兼顧美觀,使確定的最小半徑能滿足某種程度的行車要求:這種最起碼的半徑數值,就是圓曲線的最小半徑限制值。《公路工程技術標推》根據各級公路的不同要求,規定了圓曲線最小半徑有三類:極限最小半徑、一般最小半徑和不設超高的最小半徑。其中極限最小半徑主要滿足行車安全.適當考慮舒適性;—般最小半徑已具有較好的安全性和舒適性;不設超高的最小半徑是考慮即使不設超高也能保證其安全性和舒適性。
在一定車速v的條件下, 要滿足三類最小半徑不同要求的安全性和舒適性.關鍵在于橫向力系數u值的合理確定。
(1)行車安全性分析
汽車在彎道上安全行駛的必要條件是輪胎不會在路面上產生滑移:即要求橫向力系數u要小于或等于輪胎與路面間的橫向摩阻力系數Ψ,即

式中;Ψ——輪胎與路面的橫向摩阻系數,見表1-1-3。
(2)舒適性分析
根據國內外大量資料分析,乘客隨u值的變化其心理反應如下:
當u〈0.1時,不感到有曲線存在,很平穩,近似于在直線上行駛;
當u=0.15時,感到有曲線存在,但尚平穩;
當u=0.2時,感到有曲線存在,略感不平穩;
當u=0.35時,感到明顯不平穩;
當u=0.4時,感到非常不平穩.有傾倒的危險感。
由此可知,從乘客的舒適性出發,u值以不超過0.10為宜,最大不超過0.15~0.20。
(3)經濟性分析
在確定u值時,還應考慮汽車運營的經濟性。根據試驗分析,汽車在彎道上行駛與直線相比,存在著以下關系:
橫向力系數u 燃料消耗(%) 輪胎磨損(%)
0 100 100
0.10 110 220
0.15 115 300
0.20 120 390
綜上分析,u值大小與行車安全、經濟與舒適等密切相關。因此,u值的選用應根據行車速度、圓曲線半徑及超高橫坡度的大小,在合理的范圍內選擇。
2、圓曲線最小半徑確定
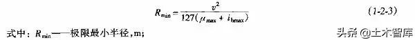
(1)極限最小半徑
極限最小半徑是路線設計中各級公路所能允許的極限值,其u值的選用,主要滿足安全要求,兼顧舒適性,因此在非特殊困難的情況下,一般不輕易采用。
極限最小半徑可按下式計算

umax——極限最小半徑所對應的橫向力系數,見表1-2-1;
umin——最大超高橫坡度,見表1-2-1。
極限最小半徑橫向力系數及超高橫坡度取用表 表1-2-1

(2)一般最小平曲線半徑
為避免在路線設計時只考慮節約投資,不考慮線形的整體協調和今后提高公路等級而過多采用極限最小半徑的片面傾向,同時也要考慮在地形比較復雜的情況下不會過多地增加工程量,而且也具有充分的舒適感。為此,《公路工程技術標準》規定了“一般最小半徑”。一般最小半徑可按下式計算

式中:R一般———般最小半徑,m;
ib——路拱超高橫坡度,見表1-2-2;
u——一般最小半徑所對應的橫向力系數,見表1-2-2
一般最小圓曲線半徑橫向力系數及超高橫坡度取用表

(3)不設超高的最小圓曲線半徑
當路面不設超高時,路拱為雙向橫坡度,與直線段的路拱橫坡度相同,當路線某一半徑大于一定值時,即使汽車在圓曲線外側行駛也能獲得足夠的安全性和很好的舒適性。不設超高的最小圓曲線半徑可按下式計算

式中:
R免——不設超高最小半徑,m;
i1——路拱橫坡度,二級及以上等級公路時,取i1=0.01~0.02,二級以下公路時,取i1=0.03~0.04;
u——不設超高橫向力系數,一般取u=0.035~0.06。
其中:“—”表示汽車在公路圓曲線外側行駛。
根據公式計算并結合我國的具體情況,《公路工程技術標準》規定了各級公路的圓曲線半徑,如表1-2-3所示。

以上三種圓曲線最小半徑在具體應用時,應考慮以下幾方面的要求:
(1)一般情況下盡量選用大于或等于一般最小半徑,只有受地形限制及其他特殊困難時,才可采用極限最小半徑;
(2)橋位處兩端設置圓曲線時,一般大于一般最小半徑;
(3)隧道內必須設置圓曲線時.應大于不設超高的最小半徑;
(4)長直線或陡坡盡頭,不得采用小半徑圓曲線;
(5)不論偏角大小,均應設置圓曲線;
(6)半徑過大也無實際意義,故一般宜小于10000m。
例1-2-1 某平原區二級公路,計算行車速度v=80km/h,試問該公路的極限最小半徑為多少?
解:按表1-2-l可知,橫向力系數u=0.12,ib=0.08
根據式(1-2-1)極限最小半徑為:

《公路工程技術標淮》規定為250m(表1-2-3)。
例1-2-2某山嶺重丘區三級公路,其設計車速v=30km/h,試問該公路的最小半徑為多少?
解:按表(1-2-2)可知,橫向力系數u=0.05,ib=0.06
根據式(1-2-1)一般最小半徑為:

所以,《公路工程技術標準》規定為65m(表1-2-3)。
例1-2-3 已知某平原區高速公路,其計算行車速度v=120km/h,設該公路的路面橫坡度i1=1.5%,試計算該公路不設超高的最小半徑為多少?
解:已知i1=0.015,設u=0.035
根據式(1-2-5)不設超高的最小半徑公式:

由表1-2-3可知,不設超高最小半徑R=5500m,與《公路工程技術標準》規定相符合。
三、緩和曲線
緩和曲線是設置在直線與圓曲線之間或大圓曲線與小圓曲線之間,由較大圓曲線向較小圓曲線過渡的線形,是道路平面線形要素之一。它的主要特征是曲率均勻變化。《公路工程技術標準》規定,除四級公路可不設緩和曲線外,其他各級公路,當平曲線半徑小于不設超高的最小半徑時,應設緩和曲線。本節主要討論緩和曲線的作用、性質、參數、長度和設計方法。
1、緩和曲線的作用與性質
(1)緩和曲線的作用
A.便于駕駛員操縱方向盤
汽車從直線進入圓曲線,或從大半徑圓曲線駛入小半徑圓曲線時,插入緩和曲線,可使汽車前輪轉向角逐漸從0°至a轉向,從而有利于駕駛員操縱方向盤.保證安全行駛。
B.滿足乘客乘車的舒適與穩定,減小離心力變化
離心力的大小與汽車行駛的曲率半徑大小成反比.在直線段中,離心力為零。在圓曲線上,離心力最大。當插人緩和曲線時,因為緩和曲線的曲率是逐漸變化的,可以消除離心力的突變,從而保證乘客乘車舒適與穩定。
C.滿足超高、加寬緩和段的過渡,利于平穩行車
當圓曲線上有超高與加寬時,由直線段上無超高及加寬過渡到主圓曲線的全超高及全加寬時,必須有一個緩和段.而設置了緩和曲線.可以通過緩和曲線完成超高及加寬的逐漸過渡。


式(1-2-11)為汽車轉彎時的理論軌跡方程,從中可以得出兩個結論:—是該曲線上任一點的曲率半徑與該點至曲線起點距離成反比,它符合汽車在道路上的行駛軌跡;二是參數A對某一曲線來說,是一個常救,但就整個公路線形而言,其實質為一個放大倍數,它適應于不同的情況,因此,需建立一個數學模型來作為緩和曲線。
2、回旋線基本方程
從回旋線的數學定義可知,其曲率半徑ρ隨曲線上某一點至該曲線起點之距離成反比(即回旋線為曲率半徑ρ隨曲線長度增長而減小的曲線)。即

式中:C——曲率與曲線長度的比例常數;
其余符號同前。


3、緩和曲線最小長度
汽車在緩和曲線上行駛時,要有足夠的緩和曲線長度,以保證駕駛員操縱方向盤所需的時間、限制離心加速度的增長率及滿足設置超高與加寬過渡等的要求。
(1)根據離心加速度變化率求緩和曲線最小長度
為了保證乘客乘車的舒適性,就需控制離心力的變化率。

as——離心加速度平均增長率,m/s3;
Δa——離心加速度的變化率,m/s3;
t——汽車在緩和曲線上行駛的時間,s,一般取用t=3s。
確定緩和曲線最小長度時,我國公路設計中采用as ≤0.6,則

(2)依駕駛員操縱方向盤所需時間求緩和曲線長度
試驗表明,駕駛員在緩和曲線上操縱方向盤的最合適時間為t=3~5s,我國采用t=3s,所以緩和曲線最小長度為

式中:v——計算行車速度,km/h。
上式表明.最短的緩和曲線與半徑的大小無關,即使平曲線半徑較大,當汽車高速行駛時,也應有個轉變過程,因而式(1-2-15)是高等級公路設置緩和曲線的校核式。
(3)根據超高附加縱坡不宜過陡來確定緩和曲線最小長度
超高附加縱坡(即超高漸變率)是指在緩和曲線上設置超高緩和段后,因路基外側由雙向橫坡逐漸變成單向超高橫坡,所產生的附加縱坡。當附加縱坡過小時,不利于排水;當附加縱坡過大時,路容不美觀。
為使緩和曲線有適中的超高漸變率,就需確定其有合適長度。由超高緩和段長度計算公式知

式中:lc——超高緩和段長度,m;
lh——緩和曲線長度,m;
hc——路基外側全超高斷面處的全超高值,m;
ρ——超高漸變李(或稱附加縱坡)。
4,從視覺上應有平順感的要求計算緩和曲線最小長度

式中:lc——超高緩和段長度,m;
lh——緩和曲線長度,m;
hc——路基外側全超高斷面處的全超高值,m;
ρ——超高漸變李(或稱附加縱坡)。
4,從視覺上應有平順感的要求計算緩和曲線最小長度

4、直角坐標及要素計算
(1)回旋線切線角
A.緩和曲線上任意點的切線角βx
緩和曲線的切線角,是指緩和曲線上任一點的切線與該緩和曲線起點的切線所成夾角。如圖1-2-4所示,設緩和曲線所在直角坐標系XOY,o為原點.在緩和曲線上任意一點P處取一微分弧段ds,則

(2)緩和曲線直角坐標
在圖1-2-4中,任意一點P處取一微分弧段d s,其所對應的中心角為dβx,則


(3)緩和曲線常數
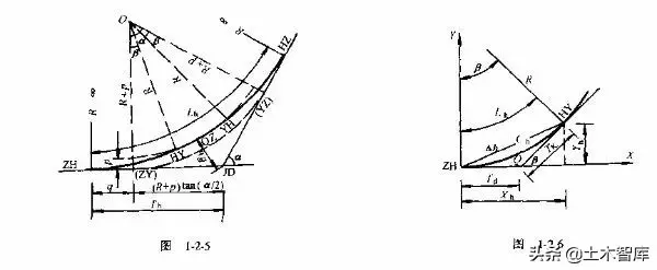
為了能在直線與圓曲線之間插入緩和曲線,必須將原有圓曲線向內移動一定的距離P。圓曲線向內移動有兩種方法:—種是圓心不變,使圓曲線半徑減小.從而使因曲線向內移動;另一種是半徑不變,而圓心沿分角線方向內移,使圓曲線向內移動。由于后者是不平行移動,圓曲線上的各點的內移值不相等,測設工作麻煩,因此采用第一種方法。
采用圓心不動的平行移動方法,可以看成是平曲線在未設置緩和曲線時的圓曲線半徑為R+p,而該平曲線要插入緩和曲線,向內移動距離P后,圓曲線半徑正好減小一個P值,即為R,如圖1-2-5所示。
A.主曲線的內移值P及切線增長值q
由圖1-2-5可知



ZH——第一段緩和曲線的起點(直緩點)
HY——第一段緩和曲線的終點(緩圓點)
QZ——平曲線的中點(曲中點);
YH——第二段緩和曲線的終點(圓緩點)
HZ——第二段緩和曲線的起點(緩直點);
例1-2-4 某平原微丘區二級公路有一彎道,其平曲線半徑及R=260m,交點JD校號
K16+721.26,偏角為a=29°23′24″,試計算該曲線上設置緩和曲線后的五個基本樁號。
解:
1.確定緩和曲線長度
由題意可知,該公路為平原微丘區二級公路.其設計車速v=80km/h,則


6.實地敷設步驟:
1)在JD處沿兩切線方向分別量取103.37m得平曲線起點(ZH)終點(HZ)的位置;
2)在JD沿分角線方向量取39.30m得平曲線中點(QZ)位置;
3)分別以HZ(或ZH)為坐標原點,沿切線方向分別以Xh和Yh用切線支距法定出YH(或HY)的位置。
更多相關信息 還可關注中鐵城際公眾號矩陣 掃一掃下方二維碼即可關注





